商务数据分析不仅仅是对数据进行简单的统计分析,更重要的是洞察数据背后的规律,以决策优化为目的,综合应用统计学,应用数学等学科知识,实现数量化认知,为业务创造最大价值,为未来提供决策支持。
4.1 描述性分析
在大数据时代,每天都会产生数以万亿计的数据,对数据分布使用合适的描述指标,有助于研究庞大,杂乱无序的数据背后隐藏的事实规律。
表4-1 【员工消费数据】工作表的字段说明
字段 | 描述 |
月份 | 2020年1月-12月 |
交通费用(元) | 员工上班及平时出行的交通费用 |
网购支出(元) | 员工网络和购物所花的费用 |
水电支出(元) | 员工每个月生活所用水费和电费 |
通信费用(元) | 员工的电话费,网络电视费等。 |
娱乐支出(元) | 员工每个月在娱乐活动方面所花的费用 |
其他支出(元) | 员工每月额外的其他支出 |
支出金额(元) | 员工每个月各项支出之和 |
4.1.1 商务数据集中趋势分析
数据的集中趋势是指一组数据向其中心值靠拢的程度,反映了一组数据中心点的位置。度量一组数据集中趋势的主要指标有平均数,中位数和众数等。
1. 平均数
平均数又称为均值,是衡量集中趋势的指标,容易受极值的影响。根据不同的数据资料,平均数可以分为算术平均数,几何平均数和调和平均数等,其中,算术平均数又分为简单算术平均数和加权算术平均数,简单算术平均数适用于未分组数据。加权算术平均数用于已分组数据。
- 简单算术平均数。
简单算术平均数的计算公式如下:
其中,n为样本量,x_i为各个变量的值
使用AVERAGE函数可以计算【员工消费数据】工作表中员全年消费的平均数,基本操作步骤如下:
- 选择AVERAGE函数。打开【员工消费数据】工作表,选中H14单元格,在【公式】选显卡的【函数库】命令组中,单击【其他函数】图标,在弹出的下拉菜单中选择【统计】-->【AVERAGE】命令,如下图所示。
- 设置AVERAGE参数。在【函数参数】对话框中,将【Number1】参数设置为H2:H13单元格区域,如图所示。单击确定按钮输出结果。
- 加权算术平均数。
根据分组形式可以将加权算术平均数分为单项式和组距式分组两种形式。
单项式分组的计算公式如下
其中,k为组数,M_i为第i组的组中值,n_i为第i组出现的频数或权数。
- 几何平均数
几何平均数适用于比率形式的数据,主要用于计算平均比率,如平均收益率,平均增长率等。几何平均数的计算公式如下:
其中,x_i为第i个数,n为样本量。
在Excel中,使用GEOMEAN函数计算数据的几何平均数。GEOMEAN函数使用格式如下:
GEOMEAN(number1, [number2],..]
下面使用GEOMEAN函数计算【员工消费数据】工作表中交通费用占支出总额比率的集合平均数,基本操作步骤如下:
- 新增【交通费用占支出总额比率】列。在【员工消费数据】工作表的I1单元格中输入【交通费用占支出总额比率】
- 输入公式。在I2单元格中国输入公式【=B2/H2】,并向下填充。
- 设置GEOMEAN参数。选中I15单元格,在【公式】选项卡的【函数库】中,单击【其他函数】图标,在弹出的下拉菜单中选择【统计】-->【GEOMEAN】命令。打开【函数参数】对话框,将【Number1】参数设置I2:I13单元格区域,如图所示。
- 最后在A14单元格和A15单元格分别输入【算术平均数】和【几何平均数】。
2. 中位数
中位数是指将数据从小到大排列之后,处于最中间位置的数字,一般用
表示。当数据个数n为奇数时,中位数即最中间的数,最中间的数的位置为
;当数据个数n为偶数时,中位数为中间两个数的平均值。由于中位数不受极值的影响,因此中位数对极值缺乏敏感性。
在Excel中,可以使用MEDIAN函数计算数据的中位数。MEDIAN函数的使用格式如下:
MEDIAN(number1, [number2...])
下面使用MEDIAN函数计算【员工消费数据】工作表中员工全年消费的中位数,基本操作步骤如下:
- 设置MEDIAN函数的参数。选中H16单元格,在【公式】选项卡的【函数库】命令组中,单击【其他函数】图标,在弹出的下拉菜单中选择【统计】-【MEDIAN】命令,打开【函数参数】对话框,将【Number1】参数设置为H2:H13单元格区域,如图所示。在A16单元格中输入【中位数】。
3. 众数
众数是指一组数据中出现最频繁的数据,一般用
表示。众数不具备唯一性,即可能不止一个,也可能找不到。除此之外,作为集中趋势的代表值,众数不仅能用于数值型数据,还能用于非数值型数据,且不受极值的影响。
可以使用MODE.SNGL函数的使用格式如下:
MODE.SNGL(number1, [number2], ...)
下面使用MODE.SNGL函数计算【员工消费数据】工作表中员工水电支出的众数,基本操作步骤如下。
- 设置MODE.SNGL函数的参数。选中D17单元格,在【公式】选项卡的【函数库】命令组中,单击【其他函数】图标,在弹出的下拉菜单中选择【统计】--->【MODE.SNGL】命令,打开【函数参数】对话框,将【Number】参数设置为D2:D13单元格,如图4-10所示。在A17单元格中输入【众数】
4.1.2 商务数据离散程度分析
数据离散程度是指观测变量各个取值之间的差异程度,反映了总体中各个个体的变量之间的差异程度,是用来衡量风险大小的指标。然而,反映数据离散程度的指标有绝对指标和相对指标之分。
离散程度的绝对指标
在商务数据分析中,常用于观测数据离散程度的绝对指标主要有极差,四分位差,方差,标准差和平均差等。
极差
极差是数据中最大值和最小值的差,又称为全距。一般用R表示。极差是描述数据离散程度最简单的度量之一,易于计算。但极差只能描述数据的变化范围,无法反映各单位变量的变异程度,易受极端值的影响。
在Excel中可以使用MAX函数和MIN函数的差来计算极差。具体步骤如下:
- 打开【员工消费数据工作表】在A18单元格中输入极差,在H18单元格中输入公式【=MAX(H2:H13)-MIN(H2:H13)】
四分位差
四分位差是值第三个四分位数与第一个四分位数之差,也称为四分间距,一般用Qr表示,四分位差反映了中间5%数据的离散程度,数值越小,说明中间的数据越集中;数值越大,说明中间的数据越分散。四分位差不受极值的影响,在一定程度上能对全距进行改进。四分位差具体的求解思路如下:
- 数值排序。将n个数值从小到大进行排列
- 四等分数据。将数据平均分位4等份;
- 标记3个四分位数。将处在25%位置上的数值记为Q1,将处在50%位置上的数值记为Q2,将处在75%位置上的数值记为Q3。
- 计算3个四分位数,四分位数的计算公式如下:
- 计算四分位差。利用公式Qr=Q-Q1求出数据的四分位差。
在Excel中,可以采用QUARTILE.INC函数计算数据的四分位数,函数格式如下:
QUARTILE.INC(Array, quart)
参数说明:
- array: 必需,表示需要求四分位数的数组或数值型单元格区域。若array为空,则返回错误值#NUM
- quart:必需,表示决定返回哪一个四分位值,若quart=0,则返回数据组最小值,若quart=1,则返回第一个四分位数(处在25%位置上的数值);若quart=2则返回第二个四分位数,3返回第三个,4,返回数据组最大值。
下面使用QUARTILE.INC函数计算【员工消费数据】工作表的四分位差,基本步骤如下:
- 设置四分之一四分位点。在A19单元格输入【四分之一位点】,选中H19单元格,在【公式】选项卡【函数库】命令组中,单击【其他函数】图标,在弹出的下拉菜单中选择【统计】--【QUARTILE.INC】命令,打开【函数参数】对话框,将【Array】设置为【B2:H3】。【Quart】参数设置为【1】,如下图所示。单击确定按钮得到四分之一位点的值。
- 参考如上方法,计算四分之三分为点的值。


- 输入四分位差的计算公式。在A21单元格中输入【四分位差】,在H21单元格中输入公式【=H20-H19】。输入确定即可
方差
方差是指各个变量与总体变量的平均数之差的平均数,一般用
表示总体方差,用
表示样本方差。方差表示数据集波动的大小,能更全面地反映数据的离散程度。方差越小,数据集越集中,波动性越小;方差越大,数据集越分散,波动性越大。
若用
表示总体变量的平均数,则总体方差的计算公如下:
若总体的方差未知,样本平均值为
,则样本方差的计算公式如下:
在Excel中,VARPA函数可以用来计算数据的总体方差,VARA函数可以用来计算数据的样本方差。VARPA函数和VARA函数的使用格式如下:
VARPA(value1, [value2], ....)
VARA(value1, [value2], ....)
下面使用VARPA函数和VARA函数分别计算【员工消费数据】工作表中支出总额的总体方差和样本方差,基本操作步骤如下。
- 设置VARPA函数的。在A22单于格中输入【总体方差】,选中H22单元格,在【公式】选项卡的【函数库】命令组中,单击【其他函数】图标,在弹出的下拉菜单中国选择【统计】---【VARPA】函数,打开函数参数对话框,将【VALUE1】参数是未知为【H2:H13】单元格区域,单击确定按钮,得到员工全年消费的总体方差。
- 采用同样方法计算样本方差。
标准差
标准差是离均差平方(是指某个数与平均数之差的平方)的算术平均数(即方差)的算术平方根,又称为均方差,一般用
表示。标准差是描述数据离散程度常用的方差,其数值越大,表明数据偏离得越远。
若总体的方差已知,则总体标准差的计算公式如下:
若样本的方差已知,则样本标准差的计算公式如下:
在Excel中,使用STDEVPA函数可以计算数据的总体标准差,使用STDEVA函数可以计算数据的样本标准差。
具体操作步骤如下:
- 在A24单元格中输入【总体标准差】,选中H24单元格,在【公式】选项卡的【函数库】命令组中,单击【其他函数】图标,在弹出的下拉菜单中选择【统计】---【STDEVPA】命令,打开【函数参数】对话卡,将【VALUE1】设置为H2:H3区域,单击确定按钮。
- 采用同样方法计算样本标准差。
平均差
平均差是总体中所有个体与其算术平均数的离差绝对值的算术平均数,综合反映了总体各单位标志值的变动程度。平均差越大,表示标志变动度越大,其平均数的代表性越小;平均差越小,标志变动度越小,其平均数的代表性越大。
在Excel中,使用AVEDEV函数可以计算数据的平均差。
下面使用AVEDEV函数计算【员工消费数据】工作表中支出总额的平均差,基本操作步骤如下:
- 设置AVEDEV函数的参数。在A26单元格中输入【平均差】,选中H26单元格,在【公式】选项卡的【函数库】命令组中,单击【其他函数】图标,在弹出的下拉菜单中选择【统计】--【AVEDEV】命令,打开【函数参数】对话框,将【Number1】参数设置为B2:H13单元格区域,然后单击【确定】按钮。
离散程度的相对指标
极差,方差,标准差和平均差都是反映数据分散程度的绝对指标。一方面,绝对指标数值大小与变量的平均数大小有关,变量值绝对水平越高,数据离散程度的测量值越大;变量值绝对水平越低,数据离散程度的测量值越小。另一方面,绝对指标数值大小与原变量的计算单位有关,根据不同的计量单位计算出的变量值,其离散程度的测量值也不同。
因此为了消除变量平均数不同和计量单位不同对离散程度测量值的影响,引入了离散程度的相对指标,即变异系数。
变异系数是指一组数据的标准差与其平均值的比例,又称为离散系数、标准离差率或单位风险,一般用
表示。变异系数是检测数据离散程度的相对指标,是数据分布离散程度归一化量度,一般适用于数据平均值大于0的情况。
变异系数的计算公式如下:
在Excel中计算变异系数的步骤如下:
- 计算平均值:使用AVERAGE函数计算数据的平均值
- 计算标准差:使用STDEVA函数计算数据的标准差
- 计算变异系数:通过上面公式计算变异系数。
4.1.3 商务数据形态分析
数据的集中趋势和离散程度是描述数据分布的两个重要特征,要全面了解数据分布的特点,还需要了解数据分布的形状是否对称,偏斜程度和扁平程度等。度量数据分布的特征指标主要有偏度和峰度两种。
偏度
偏度是分布偏斜方向(或程度)的度量,可以用于反映以平均值为中印的分布的不对称程度,一般以正态分布为标准,进而描述数据的对称性。若偏度系数为0,则数据分布对称;若偏度系数大于0,则数据分布的高峰向左偏移,长尾向右延伸,呈正偏态分布;若偏度系数小于0,则数据分布的高峰向右偏移,长尾向左延伸,呈负偏态分布。
在Excel中,可以使用SKEW函数计算数据的偏度。SKEW函数的使用格式如下。
SKEW(number1,[number2], ...)
下面使用SKEW函数计算【员工消费数据】工作表中员工消费的偏度,基本操作步骤如下。
- 设置SKEW函数的参数。在A27单元格中输入【偏度】,选中H27单元格,在【公式选项卡】的【函数库】命令组中,单击【其他函数】图标,在弹出的下拉菜单中选择【统计】-【skew】命令,打开【函数参数】对话框,将【Number1】参数设置为B2:H13单元格区域。单击确定按钮。
峰度
峰度是描述数据分布集中度时高峰尖峭程度的指标,通常与正态分布相比。峰度可以反映与正态分布相比时某一分布的尖锐度或平坦度。若峰度系数大于0,则两侧极端数据较少,比正态分布更高,更瘦,呈尖峭峰分布;若峰度系数小于0,则两侧极端数据较多,比正态分布更矮,更胖,呈平阔峰分布;
在Excel中,使用KURT函数计算数据的峰度。函数语法,参数说明,使用步骤,与前文介绍的几个函数一致。
4.1.4 商务数据描述性统计分析
若需要同时获得多个描述统计量,如描述数据分析集中趋势的平均数,中位数和众数,描述数据离散成度的极差,方差和标准差,以及描述分布形状的偏度和峰度。Excel中提供的分析工具【描述统计】,一次性获得常用的描述统计量,基本操作步骤如下。
- 选择【描述统计】选项。在【数据】选项卡的【分析】命令组中,单击【数据分析】图标,选择【描述统计】选项
- 单击【输入区域】文本框,将鼠标指针移动到A2单元格中,按住鼠标左键拖拽到H13单元格中,【输入区域】文本框中会显示【
2:
13】;将【分组方式】设置为【逐行】,并勾选【标志位于第一列】复选框;在【输出选项】选项组中,设置【新工作表组】单选按钮,并勾选【汇总统计】复选框,【平均数置信度】复选框,【第K大值】复选框和【第K小值】复选框,
4.2 相关与回归分析
商务数据相关分析
无论是自然界还是社会经济领域,一种现象与另一种想象之间往往存在依存关系,如商品的销售额与销量之间存在依存关系,销售额与广告投入之间存在依存关系。有的依存关系表现为严格的函数关系,有的依存关系并不表安慰确定的函数关系,变量之间不严格的依存关系就构成了相关分析的对象。
相关分析的分类
相关分析是指对两个或多个具备相关性的变量因素进行分析,从而衡量两个变量因素的相关密切程度。它是一种不完全确定的关系,是一种非严格的确定关系。常见的相关分析有以下4种分类方式:
- 按照相关程度可以分为完全相关,完全不相关,和不完全相关,如图所示。完全相关是指一个变量的变化几乎完全由另外一个变量决定,两个变量的关系近乎是确定的函数关系。完全不相关是指两个变量之间彼此相互独立,互不影响,又称为零相关。不完全相关是指两个变量之间有依存关系,但这种依存关系不是确定的函数关系,而是相关分析的重要研究形式。
- 按照变量的变动方向可以分为正相关和负相关,如图4-36所示。正相关是指两个变量呈同向变动(即同增或同减)负相关是两个变量呈反向变动(即一个增加,另外一个减少)
- 按照变量变动的相依特性可以分为线性相关和非线形相关,如图所示,线性相关是两个变量的依存关系大致为固定比例关系,可以近似用一条直线进行拟合;非线性相关是两个变量的依存关系不是固定比例关系。
- 按照变量变动相依个数可以分为单相关和复相关,如图所示。单相关是指一个因变量与一个自变量相关,复相关是指一个因变量与两个及以上自变量相关。
相关分析技术
相关系数是用来分析和判断直线相关方向与程度的一种统计性指标。其中最常见的方法为积差法,即用两个变量的协方差与它们的标准差的比值来计算相关系数,具体的计算公式如下:
利用相关系数的计算公式可以得到相关程度,相关程度的大小及分类如表所示。
相关系数的值 | 相关程度的分类 | 相关系数的取值 | 相关程度的分类 |
|r|=1 | 完全相关 | 0.3<|r|<=0.5 | 低度相关 |
|r|=0 | 完全不相关 | 0.5<|r|<=0.8 | 显著相关 |
0<|r|<=0.3 | 微弱相关 | 0.8<|r|<1 | 高度相关 |
下面使用相关系数的计算公式对【超市销售数据】工作表中的月平均销售额与利润率进行相关分析,基本操作步骤如下:
- 选择相关系数。打开【超市销售数据】工作表,在【数据】选项卡的【分析】命令组中,单击【数据分析】图标,打开【数据分析】对话框,在【分析工具】列表框中选择【相关系数】选项。如图所示。
- 设置相关系数参数。单击上图中确定按钮,打开【相关系数】对话框,单击【输入区域】文本框,将鼠标指针移到A2单元格上并选中该单元格,按住鼠标左键拖拽至C12单元格;将【分组方式】设置为【逐列】,并勾选【标志位于第一行】复选框;单击【输出区域文本框】,并设置输出区域为D2单元格。如图所示
其中,数据区域可以包括变量名称,但不包括样本编号。若每个变量的样本按行排列,则选中【逐行】单选按钮;若按列排列,则选中【逐列】单选按钮。若需要包括变量名称。则勾选【标志位于第一行】复选框。
- 输出结果。单击确定按钮,得到相关系数为0.987,如图所示,说明平均销售额与利润率高度正相关。
商务数据回归分析
回归分析是对具有相关关系的两个或两个以上变量之间的数量变化的一般关系,确定一个合适的数学表达式,以便进行估计与预测的一种统计性方法。在数据分析中,经常需要研究某一现象与影响它的某个主要因素之间的关系,如销售利润与销售之额之间的关系,因此需要建立数学模型来描述这种关系。
回归分析的分类
回归分析是确定两个或两个以上变量之间相互依赖的定量关系的一种统计分析方法。由于变量的个数及变量之间的相依性不同,因此回归分析有不同的分类方法。
- 根据自变量的个数不同,可以分为一元回归分析和多元回归分析。若只有一个自变量,则为一元回归分析。若有两个或两个以上的自变量,则为多元回归分析。
- 根据因变量的个数不同,可以分为简单回归分析和多重回归分析。若只有一个因变量,则为简单回归分析;若有两个或两个以上因变量,则为多重回归分析。
- 根据变量之间的相关程度,可以分为线性回归和非线形回归分析。若因变量与自变量之间满足线性相关,则称为线性回归分析;若因变量与自变量之间不满足线性相关,则称为非线性回归分析。
回归分析技术
1.1. 一元线性回归方程与参数估计
- 一元线性回归方程
一元线性回归模型反映了一个因变量与一个自变量之间的线性关系,如。
其中,
表示因变量的估计值,x为自变量的实际值,a和b为待定参数,a为直线方程的截距,b为直线方程的斜率。
一元线性回归模型的经济意义如下:a是当x=0时,y的估计值;b是当x每增加一个单位时,y平均值增加话减少的量,也称为回归系数。
计算a和b的公式如下:
- 一元线性回归模型的估计标准误差。
估计标准误差是用说明回归模型代表性大小的统计分析指标,是值实际观察值和理论值的平均误差,估计标准误差的计算公式如下:
其中,分母n-2表示估计回归模型失去两个自由度,即样本个数减去自变量个数,再减1。但在实际应用中,数据个数一般均大于或等于30,可以直接使用n代替n-2。
下面通过回归分析建立【超市销售数据】工作表中月平均销售额与利润率的关系。
- 选择回归分析。在【数据】选项卡【分析】命令组中,单击【数据分析】图标,打开【数据分析】对话框,在【分析工具】列表框中选择【回归】选项,如图所示。
- 设置回归参数。在【输入】选项组中,将【Y值输入区域】设置为【
3:
12】,【X值输入区域】设置为【
3:
12】,并勾选【标志】复选框;在【输出选项】选项组中,选中【输出区域】单选按钮,并将其设置为【8】。单击确定按钮,得到回归分析结果,由此得到回归方程为【y=-0.397927+2.3132124x】。其经济含义,月平均销售额每增加一万元,利润率增加约2.3%。
1.2. 多元线性回归方程与参数估计
- 二元线性回归模型
当因变量y与两个自变量
呈现线性相关关系时,可以用二元线性回归模型来表示,如下面公式所示。
其中,ut为残差项或随机扰动项,服从平均值为0的正态分布。$u_t\sim N(0,\sigma^2) 。
- 二元线性回归方程
二元线性回归方程公式如下:
其中,确定参数
的方程如下:
- 多元线性回归模型
多元线性回归的模型的一般表达式如下:
多元线性回归方程如下:
其中,确定参数
的方程如下所示:
- 多元线性回归方程的估计标准差
与一元线性回归方程估计标准误差的计算方法相似,多元线性回归方程的估计标准误差的计算公式如下:
在通常情况下,影响销售理论的因素有多个,如广告投入,超市销售收入和人员投入等。该超市进一步收集了某家分店某年的多种影响因素的数据,并将这些数据保存在【超市销售多元数据】工作簿的【超市销售多元数据】工作表中。下面通过Excel中的回归分析实现月利润对广告投入,超市销售收入和人员投入的多元回归方程,基本操作步骤如下:
- 选择回归分析。打开【超市销售多元】工作表,在【数据】选项卡的【分析】命令组中,单击【数据分析】图标,打开【数据分析】对话框,在【分析工具】列表框中选择【回归】选项。
- 设置多元回归分析的参数。将【输入】选项组中的【Y值输入区域】设置为【
2:
13】,【X值输入区域】设置为【
2:
13】,并勾选【标志】复选框和【置信度】;在【输出选项】选项组中选中【输出区域】单选按钮,并将其设置为【
1】。
- 输出结果。单击确定按钮,可以得到多元回归分析的结果,如图所示。由此得到的回归方程
。(注:保留至小数点后两位)该方程经济含义如下:月利润与广告投入,人员投入成反比,与超市销售收入成正比;当其他变量不变时,超市销售收入每增加1万元,利润增加0.02万元;当其他变量不变时,广告投入每增加1万元,利润减少0.02万元;当其他变量不变时,人员投入每增加1万元,利润减少0.04万元。
4.3 时间序列预测
时间序列预测就是根据时间序列所反映出来的发展过程,方向和趋势进行类推或延伸,借以预测下一段时间或以后若干年可能达到的水平。
4.3.1 时间序列简介
时间序列又称为时间数列或动态数列,是将某种统计指标的数值按照时间先后顺序排列的数列。时间序列预测是指利用获得的数据按照时间顺序排成序列,将时间序列作为随机变量的样本,勇概率统计方法分析其方向或程度,从而对未来若干时期可能到达的水平进行推测。一般使用折线图来描述时间序列,用来表示数据随着时间变化的现象与趋势。
- 时间因素: 即某现象发生的时间,包括时间单位和时间长短。根据时间是否连续,可以将时间序列分为离散型时间序列和连续型时间序列。
- 数据因素: 即现象在不同时间的变量值。时间序列不论其数值大小,每个数值所在的位置都是由它所处的时间决定的,即数字顺序是按照时间的先后顺序排列的。根据数据量的多少,可以将时间序列分为一元时间序列和多元时间序列。
另外,按照变量值的表现形式不同,可以将时间序列分为绝对时间序列,相对数时间序列额平均数时间序列3种。
在影响社会济南公交现象的众多因素中,由于各因素之间的影响强弱与方向不同,因此时间序列呈现的变动形式不同。商务数据分析的主要任务是对影响构成商务经济时间序列各个因素加以分析与测定,以便对未来的发展做出判断和预测。一般来说,影响时间序列的因素可以归纳为以下四种。
- 长期趋势(T): 是指时间序列在很长一段时间内所表现出来的沿某个方向的变化趋势。例如,通过研究股市的变化情况可以发现,形成的上升(牛市)趋势或下降(熊市)趋势一般能延续一段时间。
- 季节变动(S): 是指经济现象岁季节更替而出现的周期波动;一般采用以星期,月和季度等时间间隔为单位的时间序列,测定以年为周期随季节转变而发生的有规律的周期变动和可预测的变动;是用于改善需求预测准确度的常用统计模式之一。分析季节变动可以使生产企业根据季节的变化,合理储备各种生产原料,以保障生产正常进行,也可以使商业企业合理进货,从而合理控制现金流。分析季节变动的方法有很多种,常用的有同期平均法和长期趋势剔除法。
- 循环变动(C): 又称为周期变动。是指各种经济现象随着时间改变呈现出的不规则的周期波动,如国内生产总值,股票价格和利率等大多数的经济指标具有明显的周期变动特征。
- 不规则变动(I): 又称为随机变动,是指受偶然现象而出现的不规则波动,如股票市场突然受利好或利空消息的影响使股票价格产生波动等。
4.3.2 时间序列指标
研究时间序列的主要目的之一就是预测,通过对现有数据进行观测来预测未来的发展趋势。例如,通过观测国内生产总值的总体变化趋势、总体变动平均程度和总体变动规律来预测未来生产总值的趋势等。为此,用户需要先了解时间序列的水平分析和速度分析等相关内容。
1. 发展水平与平均发展水平
- 发展水平
时间序列中的各个指标数值就是该指标所反映的社会经济现象在所属时间的发展水平,反映了社会经济现象在具体时间所达到的规模和发展程度,如国内生产总值,国民收入等。在时间序列中,如果用
a_0
a_n$表示最末水平,对准基准睡哦的被称为基期水平,被观察时间的水平被称为报告期水平。
- 平均发展水平:在对时间序列进行分析时,为了综合说明某现象在各个时间段的发展水平,需要计算其平均发展水平指标,即对不同时间的指标数值求平均数,如人均国民收入等。根据指标的性质不同,时间序列又可以分为总量指标时间序列,相对指标时间序列和平均指标时间序列。由于相对指标和平均指标是由总量指标派生出来的,因此通过总量指标时间序列计算平均发展水平是最基本的方法。
- 以时期指标时间序列计算平均发展水平:以时期指标时间序列计算平均发展水平,可以采取简单算术平均法进行计算,如下面公式
其中,
为平均发展水平,
为各个时期的发展水平,n为时期数。
2. 以间隔相等的时间数列计算平均发展水平:以间隔相等的时间数列计算平均发展水平,可以采取“首末折半法”来计算,公式如下:
其中
为平均发展水平,
为各个时期的发展水平,n为时期数。
- 以间隔不等的时间数列计算平均发展水平以时间间隔为权数,采取加权法来计算平均发展水平,如下面公式所示:
$$
\bar{a}=\frac{\sum{\bar{a_i}f_i}}{\sum{f_i}}=\frac{\frac{1}{2}(a_1+a_2)f_1+\frac{1}{2}(a_2+a_3)f_2+\dots+\frac{1}{2}(a_{n-1}+a_{n})f_n}{f_1+f_2+\dots+f_n}
$$
其中,$\bar{x}$为平均发展水平,$a_i$为各个时期的发展水平,$f_i$为各个时期间隔或持续的时间。
- 当现象发生变动时,以登记一次的时间数列计算平均发展水平。通过以现象持续时间长度为权数,采用加权法来计算平均发展水平,如下面公式:
$$
\bar{a}=\frac{a_1f_1+a_2f_2+\dots+a_nf_n}{f_1+f_2+\dots+f_n}=\frac{\sum{a_if_i}}{\sum{f_i}}
$$
- 以相对指标或平均指标时间序列计算平均发展水平。首先分别以相对指标或平均指数计算分子和分母的平均数,然后进行对比,由此可以得到平均发展水平,如下面公式所示:

其中,
为相对指标或平均指标的平均发展水平,
为分子的时间序列平均数,
为分母的时间序列平均值。
2. 增长水平与平均增长水平
- 增长水平:增长水平又称为增长量,是报告期水平与基期水平之差,即

增长量又可以分为逐期增产量和累积增长量。逐期增长量是报告期水平与前一期水平之差,说明报告期比前一期增长的绝对数量;累积增长量是报告期水平与某一固定时间的水平(通常称为最初水平)之差,说明报告期比某一固定时间增长的绝对数量,即某一段较长时期内的总增长量。
逐期增长量的计算方法为:
累积增长量的计算方法为:
- 平均增长水平:平均增长水平也称为平均增长量,是通过将逐期增长量相加并除以逐期增长量个数得到的,也可以用累积增长量除以时间序列项数减1得到,即

3. 发展速度与平均发展速度
- 发展速度:发展速度是反映社会经济现象发展程度的相对指标,是报告期水平与基期水平的比值,说明报告期水平已经发展到基期水平的百分之几或若干倍,可以用公式表示为如下形式:

根据对比的基期不同,发展速度又可以分为定基发展速度,环比发展速度,和年距发展速度。
- 定基发展速度:定基发展速度是报告期水平与某一个固定时期水平的比值,说明报告期水平相对于该固定发展时期水平的发展程度,表明某现象在较长时期内的总发展速度,也称为总速度。定基发展速度可以用公式表示为如下形式:
$$
\frac{a_1}{a_0},\frac{a_2}{a_0},\dots,\frac{a_n}{a_0}
$$
- 环比发展速度:环比发展速度是报告期水平与前一时期水平的比值,说明报告期水平相对于前一时期水平的发展程度,也称为逐期发展速度。环比发展速度可以用公式表示为如下形式:
$$
\frac{a_1}{a_0},\frac{a_2}{a_1},\dots\frac{a_n}{a_{n-1}}
$$
- 年距发展速度:年距发展速度是报告期发展水平与上一年同期发展水平的比值,说明报告期水平相比上一年同期水平的发展程度。年距发展速度可以用公式表示为如下形式
$$
年距发展速度=\frac{报告期发展水平}{上一年同期发展水平}
$$
- 平均发展速度:平均发展速度是一定时期内各个环比发展速度的平均数,说明社会经济现象在较长时期内速度变化的平均程度,一般用几何平均法计算,即

其中
为平均发展速度,
为各个时期环比发展速度,n为时期数。
4. 增长速度与平均增长速度
- 增长速度:增长速度是反映增长程度的相对指标,并且与发展速度相差一个基数。(1或100%)。如下面公式:

与发展速度类似,由于基期不同,因此增长速度也可以分为定基增长速度,环比增长速度和年距增长速度,三者的计算公式如下:

- 平均增长速度:平均增长速度是各个时期增长水平的平均数,可以用公式表示为如下形式:

即平增长速度=平均发展速度-1.
下面通过Excel计算国内生产总值的增长睡哦,发展速度和增长速度,基本操作步骤如下。
- 增加表头。打开【国内生产总值数据】工作表,分别在C1单元格,D1单元格,E1单元格,F1单元格核G1单元格中输入【逐期增长量】、【环比发展速度】、【定基发展速度】、【环比增长速度】和【定基增长速度】如下图所示
- 输入逐期增长量的计算公式。单击C2单元格输入公式【=B2-B1】,然后按Enter键,并采用填充法计算剩余所有年份的逐期增长量,结果如图所示。
- 输入环比发展速度的计算公式。单击D2单元格,输入公式【=B2/B1】,按Enter键,并采用太难重复嘎九三剩余所有年份的环比发展速度,结果如下图所示。
- 输入定基发展速度的计算公式。单击E2单元格,输入公式【=B2/$B$2】后,按Enter键,并采用填充法计算剩余所有年份的定基发展速度。如下图所示。
- 计算环比增长速度。单击F2单元格,输入公式【=D2-1】,按Enter键,并采用填充法计算剩余所有年份的环比增长速度,结果如下图所示。
- 计算定基增长速度。单击G2单元格,输入公式【E2-1】,按Enter键,采用填充法计算剩余所有年份的定基增长速度,结果如图所示。
4.3.3 时间序列预测技术
研究时间序列的关键任务就是对时间序列的构成因素进行评估,从而揭示经济现象的变化规律,为预测未来经济现象的发展提供重要依据。时间序列预测的常用方法为趋势外推法(又称为趋势延伸法)。趋势外推法是根据预测变量的历史时间序列揭示变动趋势外推将来,以确定预测值的一种预测方法。当预测对象依据时间变化呈现某种上升或下降趋势,且没有明显的季节波动,能找到一条合适的函数全反映这种变化趋势时,即可使用趋势外推法进行预测。在实际预测过程中,经常使用一些较为简单的函数模型,如线性模型和指数曲线等。
按照时间序列各个因素的影响方式不同,可以设定不同的组合模型,常见的有加法模型和乘法模型。其中,加法模型假定各个因素之间相互独立,乘法模型假定各个因素之间存在一定的关系。加法模型的计算公式如下:

乘法模型的计算公式如下:

其中,
为时间序列的指标值,
为长期趋势,
为季节变动,
为循环变动,
为不规则变动。
一般来说,在研究经济现象的发展变化时,这4个因素往往不是完全同时存在的,因此,根据影响因素不哦那个,预测方法又可以分为移动平均法,指数平滑法和趋势外推法等。
1. 移动平均法预测
移动平均法是对变量值进行平均的一种方法,实际上是对原来的数据进行修匀,用一组最近的实际数据值来预测未来一期或几期内数据变化的一种常用方法,主要适用于即期预测。根据预测时使用的各个数值的权重不同,移动平均法可以进一步分为简单移动平均法和加权移动平均法。
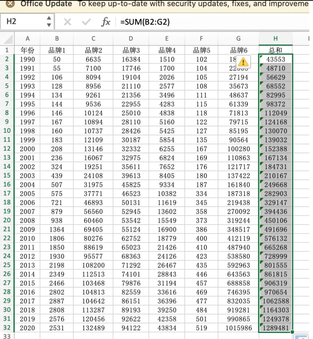
- 简单移动平均法,在简单移动平均法中,各个因素的权重是相等的。下面使用简单移动平均法对【汽车销量数据】工作表进行时间序列分析,基本操作步骤如下:
- 计算各年份汽车销量总和。打开【汽车销量数据】工作表,单击H1单元格,输入【总和】;选中H2单元格,输入公式【=SUM(B2:G2)】,按Enter键,并使用填充法计算剩余年份的汽车销量总和,结果如图所示。
- 选择移动平均。在【数据】选项卡的【分析】命令组中,单击【数据分析】图标,打开【数据分析】对话框,在【分析工具】列表框中选择【移动平均】选项,如图所示。
- 设置移动平均参数。单击上图中的【确定】按钮,打开【移动平均】对话框,在【输入】选项组中,将【输入区域】设置为【$H$2:$H$32】。勾选【标志位于第一行】复选框,在【间隔文本】框中输入【3】;在【输出选项】选项组中,【输出区域】设置为【$I$2】,勾选【标准误差】复选框。如图所示。
- 计算移动平均结果。单击上图中【确定】按钮,可以得到移动平均结果,在I1单元格和J1单元格中分别输入【移动平均】和【标准误差】,结果如图所示。
- 加权移动平均法:简单移动平均法的每个观测值都取相同的权数,即假定过去各个时期的资料对预测期的影响程度相同。但在加权移动平均法中,每个观测值被赋予相应的权重。在一般情况下,越重要或越近的资料,权重越大;越不重要或越远的资料,权重越小。
2. 指数平滑法
由指数平滑公式可知,要预测下一期的数值,只需要知道本期实际数和本期预测数即可,无须直达整个长时期的时间序列。因此,指数平滑法更适用于短期预测,并且在整个预测过程中,权重
的取值是关键,一般建立选取使得误差最小的
值。从数据特征来看,若变化呈阶梯式上升或下降,则取较大的
值;若变化比较平稳,则取较小的
值。
下面使用指数平滑法对【钢铁产品的销量数据】工作表进行时间序列分析,预测下一年的钢铁销量,基本操作步骤如下:
- 选择指数平滑。打开【钢铁产品销量数据】工作表,在【数据】选项卡的【分析】命令组中,单击【数据分析】图标,打开【数据分析】对话框,在【分析工具】列表框中选择【指数平滑】选项,如图所示。
- 设置指数平滑参数。单击上图中的【确定】按钮,打开【指数平滑】对话框,在【输入】选项组中,将【输入区域】设置为【$B$2:$B$11】,【阻尼系数】设置为【0.3】,并勾选【标志】复选框,在【输出选项】选项组中将【输出区域】设置为【$C$2】,并勾选在【标准误差】复选框。下面对上图中各个参数进行解释
- 输出区域:指数平滑值显示区域,可做一次指数平滑,二次指数平滑等
- 阻尼系数:阻尼系数与平滑系数的关系
。其中
为第
期的预测值,
为第t期的实际值,
为第t期的预测值,
为平滑系数,
为阻尼系数。
- 标准误差:输出实际值与移动平均值的标准误差,可选项
- 单击上图中确定按钮,得到指数平滑结果,在C1单元格和D1单元格分别输入【一次指数平滑】和【标准误差】,并采用填充法计算2020年钢铁销量,结果如图所示。
4.4 指数因素分析
4.4.1 商务数据指数内涵与意义
商务数据指数是指测定多个项目在不同场合下综合变动的一种特殊相对数,按照时间先后顺序加以排列,用于分析现象的动态变化趋势。指数即是衡量公司经营状况的综合指标,又是公司对未来经营做出决策的依据。
在商务数据分析过程中,统计指标并不是一成不变的,需要根据商务需求的变化进行实时调整,但在调整时需要注意统计周期的变动和关键指标的变动。在通常情况下,单独分析某个统计指标并不能解决实际问题,而各个指标间又是相互关联的,因此需要将所有指标综合在一起,根据具体需求寻找关键的统计指标,如某种商品的物价指数等。
4.4.2 商务数据指数的分析
商务数据指数是对有关商务活动进行比较分析的一种相对比率。但现实情况是不同的指数往往有不同的特性,因此需要对指数进行适当分类。以便用户深刻了解商务数据的特性。
1. 个体指标与总体指标
根据分析对象范围的不同,可以分为个体指数与总体指数。个体指数是反映单一现象或单个事物变动的相对数,如某种商品价格指数或质量指数等。总体指数是综合反映整个复杂经济现象总体变化情况的相对数,如居民消费价格指数等。
2. 数量指标与质量指标
根据指数反映对象特征的不同,可以分为数量指标指数与质量指标指数。数量指标指数反映了所研究现象的数量规模变动个,若商品销量指数等。质量指标指数反映了所研究现象的质量水平变动,如劳动生产率指数等。
3. 动态指数与静态指数
根据指数反映时间状态的不同,可以分为动态指数与静态指数,动态指数又称为时间指数,是指不同时间的同类现象进行比较,反映了现象在时间上的变化过程和程度,如零售价格指数,消费价格指数和股票价格指数等。动态指数根据所对比的基期不同,又分为定基指数和环比指数两种。静态指数 包括空间指数和计划完成情况指数。空间指数是指将同类现象在同一时间,不同空间进行比较,反映了现象在不同区域的差异程度,如地区间的价格指数和人均国内生产总值指数等;计划完成情况指数则将某种现象的实际水平与计划水平进行对比,反映了计划的完成程度,如产品成本计划完成情况指数等。
4. 综合指数与平均指数。
综合指数是将报告期总量指数与基期总量指数进行比较形成的,主要表现为先综合,后对比。综合指数反映的是事物综合变动的情况,可以先将多种不同度量现象的数值改为同度量现象的数值,再进行对比,如物价总指数。
平均指数是从个体指数出发,运用加权平均数来编制的总指数,主要表现为先对比,后平均。平均指数反映的是某种现象在某一空间或时间上的平均数状况,如人均国内生产总值和人均利润等。
4.4.3 商务数据因素分析技术
在商务数据分析中,一个指数通常只能说明某一方面的问题。在实际应用中,往往需要将多个指数结合起来加以分析,这就需要建立相应的指数体系,并进行多个指数之间的因素分析。
1. 指数体系
一般将3个或3个以上的在性质上相互联系,数量上互相依存的指数组成的体系称为指数体系。指数体系的示例如下:
- 总产值指数 = 产品产量指数
价格指数
- 总成本指数 = 产品产量指数
单位成本指数
- 销售额指数 = 销量指数
价格指数
- 现象总体变动指数 = 数量指标指数
质量指标指数。
显然,上述指数体系的示例都是建立在有关对比指数之间的经济联系基础上的,因此有实际的含义。
指数体系的分析作用主要体现在两个方面:一是进行因素分析,即分析现象总变动中有关因素的影响程度;二是进行数据推算,即数据已知的指数推算未知的指数。此外,指数又可以分为个体指数和综合指数。
综合指数是总指数的基本形式之一,用来反映复杂现象的总变动。综合指数的表现形式如下:

其中,
为质量因素;
为数量因素;
表示所分析的时期,称为报告期;
表示比较时期,称为基期。需要注意的是,这些变量与后续因素分析中的变量表示的含义相同。
编制综合指数的基本方法是“先综合,后对比”。当学习编制综合指数时,必须明确两个基本概念:一是指数化指标,二是同度量因素。所谓指数化指标就是编制综合指数所要测定的因素。例如,商品价格综合指数所要测定的因素是价格,因此价格就是指数化指标。所谓同度量因素是指媒介因素,借助媒介因素可以将不能直接加总的因素过渡到可以同度量并且可以加总的因素。确定同度量因素所属时期的一般方法如下:当编制数量指标指数时,同度量因素所属时期固定在基期水平上;当编制质量指标指数时,同度量因素所属时期固定在报告期水平上。
因素分析
因素分析用了分析现象的总变动中各个因素变动的影响程度。根据总量变动分解得到的因素个数不同,可以采用单因素分析,两因素分析,多因素分析。
- 单因素分析:如果只考虑一个因素对某项结果的影响是否显著,那么可以对此因素的多个水平试验结果进行比较。单因素分析具体做法如下:
- 明确观测变量和控制变量
- 计算观测变量的方差。单因素方法分析将观测变量总离差平方和(SST)分解为组间离差平方和(SSA)和组内离差平方和(SSE)两部分。用数学形式可以表述为

- 通过比较观测变量总离差平方和各部分所占的比例,可以推断控制变量是否会给观测变量带来显著影响。
- 两因素分析:当分析多种商品的销售额变动及其影响因素时,一般假设数量指标和质量指标中的其中一个先变化,另一个在变化,此时会综合使用拉氏指数和帕氏指数。
- 拉氏指数(L):是德国经济统计学家拉斯贝尔提出的,将同度量因素固定在基期水平上,也被称为基期综合指数,如下面公式所示:
$$
L_p=\frac{\sum p_1q_0}{\sum {p_0q_0}} \times 100\%
\\
L_q = \frac{\sum{p_0q_1}}{\sum p_0q_0}\times 100\%
$$
- 帕氏指数(P): 是德国经济统计学驾拉斯贝尔提出的,将同度量因素固定在基期水平上,也被称为报告期综合指数,如下公式所示
$$
P_q = \frac{\sum{p_1q_1}}{\sum{p_0q_1}}\times 100\% \\
p_q = \frac{\sum{p_1q_1}}{\sum{p_1q_0}} \times 100\%
$$
与此同时,为了满足相对数分析和绝对数分析的需求,往往将综合指数于连锁交替法结合在一起。建立相应指数体系,完整的分析方法和步骤如下:
- 计算变动程度,即相对数分析
- 计算影响变动量,即绝对数分析
- 用公式表示,如下面所示

下面通过指标分析法对产品销售价格及销量登记信息进行因素分析,基本操作步骤如下。
- 计算产品的销售价格及销量的总和。打开【产品价格及销量登记信息】工作表,单击A6单元格,输入【总和】选中C6单元格,输入公式【=SUM(C3:C5)】,并采用填充法计算剩余产品销售价格及销量的总和,结果如下图所示。
- 计算产品销量指数:

- 计算产品销售价格指数:

- 计算拉氏价格指数和销量指数
- 计算帕氏价格指数和销量指数

- 计算价格指数

销量平均指数为

- 进行销售额变动的因素分析

进一步计算可得

分析结果表明,从相对数来看,该企业的销售额报告期比基期增长了22.27%,是销量增长16.2%和销售价格上涨5.22%共同作用的结果;从绝对数来看,该企业销售额报告期比基期增加了25.6万元,是销量上升使销售额增加19.6万元和销售价格上涨使销售额增加6万元共同作用的结果。
- 多因素分析:根据多个因素和相关关系的数量,可以使各个因素的基期数字顺次以报告期的数字代替,且有多少个因素就代替多少次,并将每次代替后的结果与代替前的结果进行对比,从相对数和绝对数两方面分析各个因素对现象总体的影响。
以某电商平台交易数据为例,假设a,b,c分别表示某产品的销量,销售价格和利润率,
和
和
分别表示各个因素基期数值,
和
分别表示各个因素报告期数值,则多因素分析具体的计算公式和步骤如下:
- 计算被分析指标的总变动,具体公式i如下:变动程度的计算公式:

变动绝对额的计算公式如下:

- 计算各个因素变动影响的程度和绝对额。计算销量变动影响的程度,计算公式如下

计算销量变动影响的绝对额,计算公式如下:

计算销售价格变动影响程度公式如下:

计算销售价格变动影响的绝对额,计算公式如下:

计算理论率变动影响的绝对额计算公式如下:

- 影响因素的综合分析
- 总变动程度等于各个因素变动程度的连乘积。
- 总因素变动绝对额等于各个因素变动影响绝对额的总和。
4.5 抽样估计
抽样估计又称为抽样推断,利用抽样调查所得到的一部分单位的数量特征来估计和推算从体的数量特征,是对总体进行描述的一种方法。抽样估计具有花费小,适用性强和科学性高等特点。
4.5.1 抽样估计方法
抽样是从研究总体中抽取一部分样品,根据被抽取样品的分析和研究结果来估计与推断总体特性。抽样的基本要求是保证所抽取的样品对总体具有充分的代表性。根据调查单位抽取方式的不同,抽样方法可以分为随机抽样调查和非随机抽样调查。其中,随机抽样调查主要包括简单随机抽样,分层抽样,等距抽样,整群抽样和多阶段抽样等。非随机抽样调查主要包括判断抽样和配额抽样等。
简单随机抽样
简单随机抽样又称为等概率抽样,是从有限总体的N个单位中任意抽取n个单位作为样本,并且每个单位被抽中的概率相等。根据抽样方式不同,简单随机抽样可以分为重复(放回式)抽样和不重复(不放回式)抽样。
重复(放回式)抽样是从有限总体的N个单位中随机抽取一个样本进行观察后,再放回总体中参与下一轮抽样,直至随机抽取到n个单位样本为止。例如,从某服装店促销柜台上随机挑选两件衣服,第一次随机挑选一件,观察后又放到促销柜台上,在从促销柜台上随机挑选一件。
不重复(不放回式)抽样是从有限总体的N个单位中随机抽取一个样本进行观察后,该样本不再放回总体中参与下一轮抽样,直至随机抽取到n个单位样本为止。例如,从某服装店促销柜台上随机挑选两件衣服,第一次随机挑选一件,观察后不放到促销柜台上在从促销柜台上随机挑选一件。
简单随机抽样是较为常用的抽样方法,适用于分布较为均匀的总体,简单随机抽样的优点包括以下几点:
- 在总体中,每个单位入选为选样本的抽样概率相等,用样本统计量对总体参数进行估计和计算估计误差较为方便
- 抽样过程简单,直观,且易于操作。
然而,简单随机抽样也存在一定的缺点,主要包括以下几点。
- 简单随机抽样要求抽样框包括总体所有单位的名单和信息,当总体单位数N很大时,构造抽样框名录较为困难。
- 随机抽样得到的样本比较分散,不便于组织实施。
- 对于结构比较复杂的总体,样本的代表性难以保证。
下面使用Excel随机抽取【某服装商场元旦促销活动统计数据】工作表中的部分数据,基本操作步骤如下。
- 选择抽样。打开【某服装商场元旦促销活动统计数据】工作表,在【数据】选项卡的【分析】命令组中,单击【数据分析】图标,打开【数据分析】对话框,在【分析工具】列表框中选择【抽样】选项,如图所示。
- 设置抽样参数。单击上图中的【确定】按钮,打开【抽样】对话框,在【输入】选项组中,将【输入区域】设置为【$A$2:$A$19】,勾选【标志】复选框;在【抽样方法】选项组中,选中【随机】单选按钮,并将【样本数】设置为【8】;在【输出选项】选项组中,将【输出区域】设置为【$F$2】,如下图所示。
- 输入区域:把原始总体数据所放置的区域,数据类型不限
- 抽样方法:有周期和随机两种。间隔抽样需要输入周期间隔,输入区域位于间隔点处的数值将被复制到输出列中。当到达输入区域的末尾时,将停止随机抽样,即只需要直接输入样本数,系统将自动进行抽样,不会收间隔的规律限制,样本数是输出列显示的需要随机抽取总体中的数据个数。每个数值时从输入区域的随机位置上抽取出来的,一般根据经验适当调整在选择数据样本时的数量设置,以使最终所得样本数不少于所需数目。
- 输出区域:输出结果所在区域,一般将所有数据均放在该单元格下方的单列中。
- 输出结果:单击上图中的【确定】按钮即可输出抽样结果,并在F1单元格中,输入【随机抽样结果】,最终的结果如图所示。需要注意的是:由于抽样是随机的,因此每次的操作结果可能存在差异。
- 计算各个年龄段抽取的人数。由样本量与总体的比值可得,咩哥年龄段的人数为
,即依次抽取
人。
分层抽样的结果不仅包含各种特征的抽样单位,且样本结构与总体结构相近,还可以保证所抽取的样本具有足够的代表性。利用分层抽样得到的样本不仅可以对总体参数进行估计,还可以对各层的目标量进行估计。
3. 等距抽样
等距抽样又称为系统抽样,通过将总体的各个单位按照一定的顺序排列,先根据样本量确定抽选间隔,在随机确定起点,每隔一定的间隔抽取一个单位。
例如,采用等距抽样调查某电商购物平台200个客户的平均购买率,投诉率及好评率。
问题分析:由于每个客户所购买的金额不同,因此采用按照购买金额进行等距抽样的方法,具体抽样的步骤如下:
- 按照金额大小排序。根据200个客户购买金额的不同,按照从大到小的排序,并一一编号。
- 确定组距。根据实际抽样的需要,若抽样的样本量为20,则抽样间距为
,即每10个客户抽取1个客户。
- 确定抽样结果。确定随机起点,在编号为1~10的前10个客户中,按照随机原则随机抽取1个客户,假设编号为5,则先将该客户作为初始人选,再按间隔10个客户选1个客户的原则进行抽取,最终被抽取的客户编号分别为5,15,25,….,195。
4. 整群抽样
整群抽样又称为分群抽样,就是将总体中的若干单位合并为一个群,抽样时以群为单位进行抽取,对抽中的群中所有单位全部实施调查的抽样方式。例如,某团队想调查某高校不同专业的学生消费情况,从该校不同专业的年级中随机抽取若干个年级,对抽中的年级的所有学生进行调查。
整群抽样可以简化编制调查对象总体抽样的工作量,在社会经济调查中,通常以群为单位进行调查,这是因为划分在同一群中的个体单位往往具有相似性,在一定程度上会影响样本分布的均衡性。
5. 多阶段抽样
多阶段抽样是将抽样分为几个阶段进行,如第一阶段抽取群(大的方面或宏观方面),第二阶段从选中的群中随机后去部分单位(小的方面或微观方面),依次类推。
6. 判断抽样
判断抽样是根据调查人员的的主观经验,从总体中选择那些被判断为最能代表总体的单位作为抽样的方法,主要包括重点抽样和典型抽样。
重点抽样即重点调查,是从调查对象的全部单位中选择一部分重点单位实施调查的一种非全面的调查方法。重点单位是指数量不多,但在总体中具有举足轻重的作用的单位。
典型抽样即典型调查,是根据调查目的和要求,在对调查对象进行初步分析的基础上,有意识地选取少数具有代表性的典型单位进行深入细致的调查研究,借以认识同类事物的发展变化规律及本质的一种非全面调查方法。典型调查可以深入实际直接观察,也可以个别调查或访问。
7. 配额抽样
配额抽样是先根据总体的某种结构特征将总体划分为若干类别,进而在各个类别中按照与总体结构特征大体相似的比例分配相应的样本数量,最后利用判断抽样抽取样本的一种抽样方法。例如,在一个商场中,共有100家商店,其中,服装店有40家,鞋店有30家,箱包店有20家,化妆品店有10家。若从中随机抽取10家商店进行消防检查,则服装店,鞋店,箱包店和化妆品店对应分别抽取4家,3家,2家和1家。
4.5.2 估计方法
抽样估计的方法有很多种,以估计时所依据的资料不同,一般可以分为简单估计,比值估计和回归估计。其中,简单估计单纯依靠样本调查变量来估计总体参数,其估计结果称为简单估计量;比值估计和回归估计同时依据样本调查变量及已知的有关辅助变量来估计总体参数。
根据估计结果的方式不同,可以将估计分为点估计和区间估计两种形式。
1.点估计
点估计又称为定值估计,用实际样本指标数值作为总体参数的估计值,给估计的总体参数一个明确的点估计值,同时确定估计结果的误差(一般用方差表示)。
2.区间估计
区间估计是在点估计的基础上,根据允许的最大绝对误差范围(一般称为抽样极限误差),给出总体参数估计的一个区间范围,通常采用点估计\pm 误差的形式。区间估计是在一定的概率保证程度(置信度或置信水平)下,确定一个以点估计值为中心的区间,并将其作为总体待估参数的估计区间(也称为置信区间),即在某一置信水平下,样本统计值与总体参数值之间的误差范围,置信区间越大,置信水平就越高。划定置信区间的两个数值分别为置信区间下限和置信上限。
在使用区间估计时,不仅要考虑抽样误差的可能范围有多大,还必须考虑在这个范围的概率是多少。前者是估计的可能性。后者是估计的可靠性。
3. 简单估计量
- 简单随机抽样估计量总体平均值的无偏估计量如式所示。
\bar{Y}=\frac{1}{n}\sum_{i=1}^ny_i
总体比例的无偏估计量如式所示
\hat{P}=p
- 等距抽样估计量在总体容量N能被样本量n整除的情况下,总体平均值的无偏估计量为等距样本的平均值。如下公式所示,
\bar{Y}=\frac{1}{n}\sum_{i=1}^ny_{ij}=\bar{y_i}
总体比例的无偏估计量为等距样本的比例,如公式所示。
\hat{p}=p_i
- 整群抽样估计量如果群的大小相等,并且群的抽取是按简单随机方式进行的,那么总体平均值的无偏估计量如下公式所示。
\bar{Y}=\frac{1}{n}\sum_{i=1}^ny_i=\bar{y}
总体比例的无偏估计量如下公式所示。
\hat{P}=p=\frac{1}{n}\sum_{1}^{n}p_i
4. 估计量的评价标准
估计量的评价标准主要包括以下3点。
- 无偏性。当使用样本指标估计总体指标时,要求所有可能的样本指标平均值等于总体指标值,即用抽样指标估计平均值时没有误差。
- 一致性。当使用样本指标估计总体指标,并且样本量充分大时,抽样指标能充分靠近总体指标,即随着抽取样本数n无限增大,抽样指标和总体指标间的绝对离差将无限减小。
- 有效性。当使用抽样指标估计总体指标时,要求作为优良估计量的方差比其他估计量的发差都要小。也就是说,在估计量都是无偏估计量的前提下,用方差最小的抽样估计量作为总体指标的估计量。
5. 必要样本量的确定方法
抽样误差时抽样调查所固有的,是不能消除的。影响抽样误差因素有很多,其中样本量的大小便是重要的因素之一。一般来说样本量越大,样本对总体的代表性越强,抽样误差越小,抽芽估计的精度越高。
但在实际应用中,不可能通过无限增大样本量来追求对总体参数的高精度估计,因为样本量越大,调查成本越高,花费的时间也就越长,会失去调查的意义所在,所以确定样本量需要考虑调查目的,数据特征,完成时间和实际操作的可行性等内容。从定性角度来看,需要考虑数据分析的性质、抽样方法等;从定量角度来看,样本量的确定主要取决于研究对象的变异程度,允许的误差大小,要求的置信度及总体大小等。此外,当确定样本研究对象的变异程度,允许的误差大小,要求的置信度及总体大小等。此外,当确定样本量时,还要在估计精度和可调查费用之间进行权衡,即在费用一定的条件下精度可以达到最高,在精度一定的条件下费用可以最低。下面以简单随机抽样来介绍如何确定必要样本量,主要包括以下3种方法。
- 给定平均值,估计总体平均值估计量的程度。在不放回简单随机抽样条件下,总体平均值估计量\hat{x}标准差的表达式如下:
\hat{S}(\hat{x})=\sqrt{1-\frac{n}{N}}\frac{\hat{S}}{\sqrt{n}}
其中,\hat{S}为总体标准差的估计值。
假设允许的误差为e,则误差的计算公式如下:
e=z\sqrt{1-\frac{n}{N}}\frac{\hat{S}}{\sqrt{n}}
其中,z为依赖置信水平。
由公式41和42可以得到必要样本数量:
n_{必要}=\frac{z^2\hat{S^2}}{e^2+\frac{z^2\hat{S}^2}{N}}
如果知道允许的误差e,给定的置信水平对应的z,总体容量N,以及样本总体方差的估计\hat{S}^2,那么可以确定n的值。
当N充分大时,必要样本数量的计算公式可以简化为如下形式:
n_{必要}=\frac{z^2\hat{S}^2}{e^2}
例如,某用户需要调查图书《商务数据分析》在电商平台上的销售价格情况,该用户希望平均售价误差在5元以内,置信水平为95%。根据估计,总体标准差的估计值为50元。总体单位数为1000本,则必要样本数量的确定结果为
n_{必要}=\frac{1.645^2\times 50^2}{5^2}=271(本)
- 给定比例,估计总体比例的精度。
假设总体比例为p,允许的误差为e,则对于二值分布,样本方差的计算公式如下:
\hat{S}^2=p(1-p)
对应的必要样本数量计算公式如下:
n_{必要}=\frac{z^2p(1-p)}{e^2}
例如,某用户需要调查图书《商务数据分析》在电商平台上的销售价格情况,希望平均售价误差在0.05以内,置信水平为95%,p为0.5,则必要样本数量的确定结果为。
n_{必要}=\frac{z^2p(1-p)}{e^2}=271本
- 当费用已知时,确定必要样本数量
当总费用C已知,且固定费用C_0和每调查一个单位所需费用C_1大致确定时,则可以推算出必要样本数量,计算公式如下:
n_{必要}=\frac{C-C_0}{C_1}
4.6 网约车订单数据分析实战
随着“互联网+“的到来及共享经济理念的深入,网约车行业得以迅速发展,网约车平台如雨后春笋般出现。某平台为了解决网约车运营情况,收集了该平台2022年9月同一时间段的网约车订单数据,并将其保存到【网约车订单数据】工作簿的【网约车订单数据】工作表中。现需要对网约车订单数据进行描述统计分析,相关分析,回归分析,因素分析,抽样估计和对比分析。
4.6.1 商务数据常用的分析内容及分析方法
商务数据分析内容主要分为三大类,包括行业现状分析,行业趋势分析和客户属性分析。不同的分析内容对应电商运营的不同环节,具有独特的作用,本节重点介绍常用的分析内容及分析方法。
1. 对比分析
对比分析是指通过指标的对比来反应事物数量上的变化,属于统计分析中较为常用的方法。常见的对比分析由横向对比和纵向对比两种。
横向对比指的是不同事物在固定时间上的对比。例如,不同等级的用户在同一时间够买商品的价格对比,不同商品在同一时间销量,利润等的对比。
纵向对比指的是同一事物在时间维度上的变化,如环比,同比和定基比,即本月销售额与上月销售额的对比,以及本年度每月销售额分别与上一年度平均销售额的对比等。
2.趋势分析
趋势分析主要是基于当前的数据,对未来的数据的变化趋势进行判断和预测。趋势分析一般分为两种:一种是基于时间序列的趋势分析如依据以往的销售业绩,预测未来3个月的销售额;另一种是回归类的趋势分析,即根据指标间相互影响的因果关系进行分析,如根据用户浏览网页的行为,了解商品的销售趋势。
趋势分析通常用于长期跟踪核心指标,如点击率、活跃用户数等。趋势分析的最佳输出是比率,包括环比,同比和固定基数比等。
3.交叉分析
对比分析包括横向对比和纵向对比两种。如果需要同时比较水平方向和垂直方向,那么可以使用交叉分析。交叉分析从多个维度交叉显示数据,并从多个角度执行组合分析。交叉分析的主要功能是从多个维度细分数据并找到最相关的维度,以探究数据更改的原因。
4.6.2 网约车订单数据分析
【网约车订单数据】工作表中保存了某电商平台网约车的部分订单数据,包括【订单数】和【平均订单时长】等字段。下面通过Excel的相关功能对网约车订单数据进行描述性统计分析,相关分析,回归分析,指数因素分析,抽样估计和对比分析等操作。
1. 描述性统计分析
为了更直观地了解网约车订单数据中 【订单日期】【订单数(个)】【司机服务总时长(分钟)】和【司机在忙率】等字段的观测数,平均值及方差等信息,下面对其进行描述性分析,基本操作步骤如下。
- 设置描述参数。打开【网约车订单数据】工作表,在【数据】选项卡的【分析】命令组中,单击【数据分析】图标,打开【数据分析】对话框。在【分析工具】列表框中选择【描述统计】选项,打开【描述统计】对话框,并设置【输入】选项组和【输出选项】选项组,如下图所示。
- 输出描述统计结果。单击上图中【确定】按钮,在当前工作簿的心工作表中可以得到各列的描述统计结果,并将这个新工作表重命名为【描述统计分析】结果如图所示。由上图可以卡出,已经得到【订单日期】【订单时间】【请求数(个)】和【订单数(个)】等字段的平均数,中位数,众数,方差,最大值及最小值等信息。
2. 相关性分析
根据【网约车订单数据】工作表中的【订单数(个)】字段可以大概了解网约车的使用频繁程度,为了了解订单数与司机服务总时间,以及顾客发送请求订单后顾客预计等待时长,顾客实际等待时长,司机在忙率时否存在某种关系,现需要对订单数,司机服务总时长,平均订单时长,顾客预计等待时长,顾客实际等待时长和司机在忙率做相关分析,基本操作步骤如下。
- 设置相关系数参数。返回【网约车订单数据】工作表,在【数据】选项卡的【分析】命令组中,单击【数据分析】图标,打开【数据分析】对话框。在【分析工具】列表框中选择【相关系数】选项,打开【相关系数】对话框,并设置【输入】选项组和【输出选项】选项组如图所示。
- 输出相关系数结果。单击上图中【确定】按钮,在当前工作簿的新工作表中可以得到各列的相关分析结果,并将这个工作表重心命名为【相关性分析】如下图所示。由上图可以看出,订单数与司机服务总时长,平均订单时长呈高度正相关,与司机在忙率呈弱相关,与顾客预计等待时长,顾客实际等待时长呈负相关。
3. 回归分析
通过相关分析可以得到订单数与司机服务总时长,平均订单时长,顾客预计等待时长,顾客实际等待时长密切相关,因此,为了进一步确定订单数与其影响因素之间的关系,需要建立一个合适的数学表达式,以便进行估计与预测。下面对网约车订单数据进行回归分析,基本操作步骤如下。
- 设置回归分析参数。返回【网约车订单数据】工作表,在【数据】选项卡的【分析】命令组中,单击【数据分析】图标,打开【数据分析】对话框。在【分析工具】列表框中选择【回归】选项,打开【回归】对话框,并设置【输入】选项组和【输出选项】选项组。如下图所示。
- 输出回归分析结果。在设置好好回归分析参数后,单击上图中【确定】按钮,由此可以在当前工作簿的新工作表中得到回归分析结果,并将这个新工作表重命名为【回归分析】如上图所示,在工作簿的新工作表中得到回归分析结果,并将这个新工作表重心命名为【回归分析】,如下图所示。回归方差为y=-15.14+1.43\times 司机服务总时长+4.81\times 平均订单时长 - 3.15 \times 顾客预计等待时长 -4.46 \times 顾客实际等待时长(保留领两位小数)
4. 指数因素分析
通过建立订单数与其影响因素之间的回归方程,即可对未来网约车数据的变化趋势进行判断和预测,基本操作步骤如下:
- 构建新数据集。新建一个名为【指数因素分析】的工作表,返回【网约车订单数据】工作表,计算每天的总订单数,且日期仅显示天数;将计算得到结果保存到【指数因素分析】工作表中,得到的部分结果如下图所示,注意:可以通过数据透视表计算出每天的总订单数。
- 设置回归分析参数,在【数据】【分析】【数据分析】中选择【回归】,设置如下参数。
- 输出结果。得到拟合趋势方程【y=321.986+8.227t】依次令t=0,1,。。29并代入你和趋势方程,求出当前的结果,即321.986。在单元格中输入公式进行田处,即可得到9月趋势值。
5. 抽样估计
为了快速查看某一天的订单数,了解网约车的运行状况,需要对数据集进行抽样估计,基本操作步骤如下:
- 设置抽样参数。返回【网约车订单数据】工作表,在【数据】选项卡的【分析】命令组中,单击【数据分析】图标,打开【数据分析】对话框。在【分析工具】列表框中选择【抽样】选项,打开【抽样】对话框,并设置【输入】选项组,【抽样方法】选项组和【输出选项】选项组,如图所示。
- 输出抽样结果。单击图中的【确定】按钮,由此可以得到随机抽样的结果,并在K1单元格中过输入【随机抽样结果】,如图所示。注意:由于抽样方法设置是随机抽样,因此每次的抽样结果可以存在差异。
6. 对比分析
为了更加清楚地观察网约车订单数据及其他因素之间数量少的变化,需要对订单数据进行对比分析,基本操作步骤如下。
- 选定数据集。选中A1单元格,按快捷键【commad + A】全选网约车订单数据,并单击数据集右下角的【快速分析】图标。
- 图表分析。单击【快速分析】图标后,在弹出的快捷菜单中单击【图表】选项卡中的【更多图表】图标,如图所示,打开【插入图表】对话框。
- 绘制组合图。在【插入图表】对话框中,单击【所有图表】选项卡,选择【组合图】选项,在【为您的数据系列选择图表类型和轴列表】框中,将【司机在忙率】系列的图表类型设置为【折线图】并勾选对应的【次坐标轴】复选框,其余系列的【图表类型】均设置为【簇状柱形图】如图所示。
- 设计趋势线。选中组合图,单击图表右上角的按钮+,在弹出的快捷菜单中勾选【趋势线】复选框,如下图所示,在打开的【添加趋势线】对话框中,选择【订单数】作为趋势线,点击确定。
- 设计组合图。选中组合图,将其图表标题设置为【网约车订单数据对比分析】,X轴的标题设置为【日期】Y轴的标题分别设置为【个/分钟】和【比率值】,如下图所示。
任务实训
实训1 文具销售数据分析
需求说明
在企业经营过程中,需要对企业的效益进行分析。只有对企业产品的供求关系进行分析,并对企业客户进行有效的管理,才能使企业的销售业绩不断攀升。现有【文具销售数据】工作表,该工作表记录了某文具店销售系统中某时间段的销售数据,主要包括【日期】、【地区】、【业务员】、【性别】、【类型】、【销量(个)】、【单价(元)】和【单个成本(元)】8个字段,某文具店销售负责人为了解文具的销售情况,需要计算商品的销售额和理论,分析销售额与地区的关系,并对文具产品的销售状况进行分析。
实现思路及步骤
- 计算销售额和利润。商品的销售额和利润的计算公式如下:销售额 = 单价 \times 销量利润=(单价-单个成本)\times 销量
- 计算商品的销售。打开【文具销售数据】工作表,在I1单元格中输入【销售额(元)】,在I2单元格中输入公式【=G2*F2】,按Enter键;选中I2单元格,把鼠标指针移至单元格右下角,当鼠标指针变【+】时,双击鼠标左键,完成所有商品销售额的计算如图所示
- 计算商品的利润。在J1单元格中输入【利润(元)】,在J2单元格中输入公式【=(G2-H2)*F2】,按Enter键,选中J2单元格,把鼠标指针移至单元格右下角,点那个鼠标指针变为【+】时,双击鼠标左键,完成所有商品利润的计算,如下图所示。
- 对销售额与地区做关联分析,基本操作步骤如下:
- 创建数据透视表。打开【文具销售数据】工作表,在【插入】选项卡的【表格】命令组中,单击【数据透视表】图标,在弹出的下拉菜单中选择【数据透视表】命令,打开【创建数据透视表】对话框。
- 设置数据透视表参数。在【创建数据透视表】对话框中,参数设置如下。
- 设置数据透视表字段。单击上图中的【确定】按钮,在右侧的【数据透视表字段】面板中,将【地区】字段拖拽到【行】区域,将【销售额(元)】拖拽到【值】区域。由图中销售额与地区关联结果可知,B地区销售额最高,比A地区和C地区销售额之和还多。
- 销售现状分析–对比分析将两个及两个以上的数据进行比较可以发现他们之间存在的差异,从而揭示数据所代表的事物发展变化情况及规律性。其中,对比分析可以分为静态比较和动态比较。静态比较是在同一时间条件下对不同总体指标进行比较,如对不同部门,地区,国家等的比较,也称为横向比较。动态比较是在同一总体条件下对不同时期的指标数值进行比较,也称为纵向比较。下面使用数据透视表对【文具销售数据】工作表的销售现状进行分析,基本操作步骤如下。
- 创建数据透视表。打开【文具销售数据】工作表,在【插入】选项卡的【表格】命令组中,单击【数据透视表】图标,在弹出的下拉菜单中个选择【数据透视表】命令,打开【创建数据透视表】对话框。
- 设置数据透视表参数。在【创建数据透视表】对话框,将【表/区域】设置为【文具销售数据!$A$1:$J$44】;选中【现有工作表】单选按钮,并将【位置】设置为【文具销售数据!$M$9】,如图所示。
- 设置数据透视表字段。单击上图中确定按钮,在【数据透视表字段】面板中,将【地区】字段和【月】字段拖拽至【行】区域,将【销售额(元)】字段拖拽至【值】区域。如下图所示。
- 统计不同月份不同地区的销售额。在设置好数据透视表字段后,【文具销售数据】工作表中会显示对应的结果。如图所示。
- 绘制不同月份不同地区的销售额对比折线图,选中M2:N39单元格区域额的数据,在【插入】选项卡的【图表】命令组中,单击【插入图表】图标,打开【插入图表】对话框。在【所有图表】选项卡中选择【折线图】选项,单击第1个图表,自动生成初始化图表;
- 美化图表。选中初始折线图,单击图表右上角的按钮【+】,在弹出的菜单中选择【坐标轴标题】选项,并勾选【主要纵坐标】复选框,取消勾选【比例】复选框,再将【汇总】改为【不同地区不同月份的销售额对比】,将【坐标轴标题】设置为【销售额(元)】。由图可以可知,A地区11月的销售额是最高的,B地区4月-6月和11月-12月的销售额较高,C地区3月和5月销售额较高。
- 销售现状分析–平均指标分析。使用平均数能在一定程度上反映总体在一定时间,地点条件下某一数量特征的一般水平。常用的平均指标有算术平均株和几何平均数等。通过算术平均数分析3个地区的月平均销售现状的操作步骤如下。
- 计算3个地区的月平均销售额。基于对比分析,使用每个地区的销售总额除以销售的总月份即可得到每个地区的月平均销售额,在Q9单元格中输入【月平均销售额(元)】,在P10单元格,P11单元格,P12单元格中分别输入【A】【B】【C】。在Q10Q11Q12单元格中输入公式【=GETPIVOTDATA("销售额(元)",M9,"地区","A")/10】【=GETPIVOTDATA("销售额(元)",M9,"地区","B")/12】【=GETPIVOTDATA("销售额(元)",M9,"地区","B")/12】计算B地区和C地区的月平均销售额,如图所示,
- 绘制3个地区月平均销售额的簇状柱形图。选中P9:Q12单元格区域,单击【快速分析】图标,在弹出的菜单中依次单击【图表】-【簇状柱形图】图标,将标题修改为【3个地区的月平均销售额】。由此可得到3个地区的月平均销售额的簇状柱形图,如图所示。由图可以看出,月平均销售额最高的是B地区,其次是C地区,最少的是A地区。
- 销售现状分析—-原因分析。根据数据对象的特征,按照一定的标准,吧数据分析对象划分为不同的部分,找出影响销售额与销量的关键因素进行分析,以揭示其内在的联系和规律。下面使用相关系数函数计算【文具销售数据】工作表中【销量(个)】字段、【单价(元)】字段,【单个成本(元)】字段,【销售额(元)】字段和【利润(元)】字段之间的相关系数,基本操作步骤如下。
- 打开【相关系数】对话框,在【数据】选项卡的【分析】命令组中,单击【数据分析】图标,打开【数据分析】对话框,在【分析工具】列表框中选择【相关系数】选项,单击【确定】按钮,打开【相关系数】对话框。
- 计算相关系数。在【相关系数】对话框中,将输入区域设置为【$F$1:$H$44】,勾选【标志位于第一行】复选框,将【输出区域】设置为【$P$1】如图所示,单击【确定】按钮,由此得到相关系数的结果,如图所示。由上图可以看出,【销售额(元)】与【利润(元)】呈弱相关。
- 建立回归模型分析销售额与单价,单个成本和销量之间的关系。下面使用回归分析构建【文具销售数据】工作表【销售额(元)】字段与【单件(元)】字段,【单个成本(元)】字段和【销量(个)】字段之间的线性回归模型,基本操作步骤如下。
- 选择回归分析。打开【文具销售数据】工作表,在【数据】选项卡的【分析】命令组中,单击【数据分析】图标,打开【数据分析】对话框。在【分析工具】列表框中选择【回归】选项,打开【回归】对话录/
- 设置回归参数。在【回归】对话框中,将【Y值输入区域】设置为【$I$1:$J$44】,将【X值输入区域】设置为。【$F$1:$H$44】。勾选【标志】复选框,【置信度】复选框和【残差】复选框,将【输出区域设置为】【$A$46】
- 计算回归分析结果,单击【确定】按钮,由此可以在A46单元格中生成回归分析结果,如图所示。!
- 求回归方程。由图可以看出,所得线性回归方程为y=-15005.91+24.73x_1+1264.21x_2-1457.95x_3,其中x_1表示销量,x_2表示单价,x_3比傲视的那个成本。其经济含义如下。销售额与销量,单价成正比,与单个成本成反比,当销量与单价不变时,单个成本每增加1元,销售额则减少1457.95元;当销量与成本不变时,单价每增加1元,销售额则提高1264.21元,当单个成本与单价不变时,销量每增加1个,销售额则提高24.73元。
实训2 农贸市场数据趋势分析
需求说明:
【农贸市场数据】工作表中为2016-2020年某农贸市场的某类产品销量数据,主要包含年份,月份,销量等信息。该市场的负责人通过使用指数平滑法,移动平均法等分析销量的变化趋势。
实现思路及步骤
- 使用指数平滑法预测【农贸市场数据】工作表中下一年(即2021年)各月猪肉的销量,基本操作步骤如下。
- 新增指数平滑行和列。首先,首先在A9单元格中输入【指数平滑】,并在该行依次输入【1月】【2月】–【12月】,在A10单元格~A15单元格中依次输入【2016】【2017】【2018】【2019】、【2020】和【2021】如图所示。
- 选择指数平滑。在【数据】选项卡的【分析】命令组中,单击【数据分析】图标,打开【数据分析】对话框,在【分析工具】列表框中选择【指数平滑】选项,如图所示,单击【确定按钮】。
- 设置指数平滑参数。在【输入】选项组中,将【输入区域】设置为【$A$3:$M$3】,【阻尼系数】设置为【0.2】,并勾选【 标志】复选框,在【输出选项】选项组中,将【输出区域】设置为【$B$10:$M$10】,并勾选【图标输出】复选框,如下图所示。单击【确定】按钮。由此可以得到2016年指数平滑结果
- 输出指数平滑结果,按照步骤3,依次设置2017-2020年的指数平滑【输入区域】参数和【输出区域】参数,可以得到指数平滑预测数值结果和图形输出结果,如图所示。
- 预测2021年1月-12月的销量。在B15单元格中输入和上一年下一个月相同的数值【380】在C15单元格中输入公式【=0.2C7+0.8C14】按Enter键,由此可以得到2021年2月的预测结果,采用填充法可以得到2021年3月-12月的销量。结果如图所示。
- 使用趋势外推法预测长期趋势趋势外推法又称为长期趋势预测法。该方法的要点是,以时间为自变量,以序列为因变量,拟合函数方程,并据此进行外推预测,具体步骤如下。
下面用趋势外推法预测农贸市场数据的长期趋势,基本操作步骤如下。
- 选择趋势模型
- 求解模型参数
- 利用模型进行预测
- 计算每年的销售总量。打开【农贸市场数据】工作表,在A18单元格和B18单元格中分别输入【年份】和【销售总量(千克)】,在A19~A23单元格中依次输入【2016】【2017】~【2020】在B19单元格中输入公式【=SUM(B3:M3)】,按Enter键,由此可以得到2016年的销售总量为2402千克,采用填充法可以得到其余年份的销售总量,结果如图所示。
- 绘制散点图。选中上图A19:B23单元格区域的数据,单击右下角的快速分析图表,在弹出的菜单中依次单击【图表】【折线图】图标,单击【图表标题】,输入【销售总量与年份的折线图】,选中折线图,单击图表右上角的按钮【+】,在弹出的菜单中勾选【坐标轴标题】复选框,将X轴标题设置为【年份】,Y轴标题设置为【销售总量(千克)】如图所示。由图可以看出,销售总量与年份基本上符合线性直线模型。
- 求解模型参数。选中折线图拐点处的数值,单击鼠标右键,在弹出的快捷菜单中选择【添加趋势线】命令,由此可以得到下图所示的结果。
- 在【趋势线选项】组中选中【线性】单选按钮,将【趋势线名称】设置为【自动】,并勾选【显示公式】复选框和【显示R平方值】复选框,调整公式和R平方值的图例位置,结果如图所示。
- 整理数据。现在X1单元格和Y1单元格中分别输入【季度】和【用户总量】,再在X2~X10单元格中,分别输入【2018.1】-【2020.1】,然后将V3~V6单元格的数据复制到Y2~Y5单元格中,将V8~V11单元格的数据复制到Y6~Y9单元格中。如图所示。
- 选择指数平滑。在【数据】选项卡的【分析】命令组中,单击【数据分析】图标,打开【数据分析】对话框,在【分析工具】列表框中选择【指数平滑】选项,如图所示。
- 设置平滑参数。单击上图中【确定】按钮,打开【指数平滑】对话框,在【输入】选项组中,将【输入区域】设置为【$Y$1:$Y$9】。【阻尼系数】设置为【0.3】,并勾选【标志】复选框;在【输出选项】组中,将【输出区域】设置为【Z2】如图所示。
- 计算结果。单击上图中【确定】按钮,得到指数平滑结果,在Z1单元格中输入【一次指数平滑】,并采用填充法就按2020年第一季度的用户总数,大约为540346个,结果如图所示。