那些年一起打过的卡
2、80个必学必会Excel常用函数教程合集(已坚持打卡62天)
5、Power Query 15天速成营(已坚持打卡15天)
80个必学必会Excel常用函数
第62天 找关系函数correl和pearson
技巧1:correl函数用法教程
技巧2:pearson函数用法教程
技巧3:correl函数和pearson函数用法对比
练习软件:office Excel 2016
01
correl函数用法教程

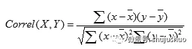
CORREL函数返回两个单元格区域的相关系数,函数的结果介于-1和+1之间,只要相关系数接近 +1 或 -1,它表示数组之间的正 (+1) 或负 (-1) 相关性。 正相关意味着,如果一个数组中的值在增加,则另一个数组中的值也增加。 接近 0 的关联系数指示无或弱相关。
语法:CORREL(数据1,数据2)
两个必需参数,函数在计算时会忽略文本、逻辑值或空单元格;要是两个数据集长度不同,则直接返回#N/A 错误。
示例中,两个数据是负的弱相关,因为两组数据都是由randbetween函数随机生成的。

02
pearson函数用法教程

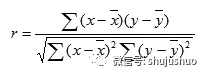
PEARSON 函数返回皮尔生(Pearson)乘积矩相关系数 r,这是一个范围在 -1.0 到 1.0 之间(包括 -1.0 和 1.0 在内)的无量纲指数,反映了两个数据集合之间的线性相关程度。
语法:PEARSON(数据1,数据2)
两个必需参数,函数在计算时会忽略包含文本、逻辑值或空白单元格,要是array1 和 array2 为空或其数据点个数不同,函数 PEARSON 返回错误值 #N/A。

03
好看真的能当饭吃

事先声明,示例数据为虚构,如有雷同,纯属巧合。
结果显示,虽然两个函数的计算逻辑不同,但结果却是一样的。但各位也不必慌张,官方说了,相关系数只用于显示两个变量之间的密切关系,并不意味着任何因果关系。所以努力工作才是最重要的。
correl函数计算公式:

pearson函数计算公式:

