离散马尔科夫链求稳态分布是随机过程中的一个常见问题。一个常见的应用就是在保险中,对车险NCD系统求稳定状态分布。
我们知道这个问题可以通过求解方程组得到。
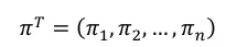
设稳定状态的分布为
转移概率矩阵为

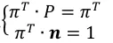
那么有方程组
其中
另外根据转移矩阵的性质,
所表示的n个方程并不是独立的,它的秩为n-1,也就是说,“有效”的方程只有n-1个,不妨将最后一个方程剔除,变为

将

补充到上述矩阵形式的方程组,变为

同时,我们还注意到以下恒等式

中间这个矩阵是把n阶单位矩阵的最后一行变为0。
那么将这两个方程相减,得到

简记为
那么
这样,我们将方程组的写为矩阵乘法形式,就可以在Excel中计算。
举例:
某保险公司的奖惩系统有4个等级,各个等级的折扣分别为0%、5%、10%、15%,奖惩系统转移规则如下:
若保单在一年中无赔案发生,保单持有人上升一个等级或停留在最高等级。
若保单在一年中发生一次赔案,保单持有人停留在原等级。
若保单在一年中发生了一次以上赔案,保单持有人将下降到最低折扣等级。
保单初始保费为1000元,现有500份保单,每份保单发生索赔概率为
P(X=0)=0.9,P(X=1)=0.05,P(X>1)=0.05
计算奖惩系统达到稳定状态后,保险公司的保费收入。
此时,转移矩阵为

根据上述推导,

下面展示通过EXCEL求解的过程
输入矩阵Q

求矩阵逆的公式是“MINVERSE”
这是数组公式,需要选中一个4×4的单元格作为目标区域,之后在公式框中输入

然后按住Ctrl+Shift+Enter,得到计算结果

下面录入en

求解矩阵乘法的公式是MMULT,也是一个数组公式,需要先选中1×4的单元格作为目标区域,在公式框中输入

然后按住Ctrl+Shift+Enter,得到计算结果

那么保费收入就可以通过简单的计算期望,乘以保单数量500得到,也就是432621

这里需要注意的问题是,矩阵中0元素必须在EXCEL中完整录入,否则会报错。
通常来说,手工或用普通计算器计算线性方程组是一个比较繁琐的事情,尤其是系数不那么“整”的情况下,EXCEL可以很好的简化这些过程。