
你好,我是小智。
用Word制作流程图,这个功能想必大家都经常用到,今天给大家介绍几个关于制作流程图的小技巧!
1、插入绘图区域
点击【插入】—【形状】—【新建画布】,可以根据需要来调整画布大小。

注意:插入绘图区还有一个好处就是可以一次性选中所有图形,可以大大提高制作的效率。

2、在形状上添加文字
选中形状,右击选择【添加文字】,就可以在形状里添加想要的文字。
3、复制形状
选中要复制的内容,按【Ctrl+D】即可复制。
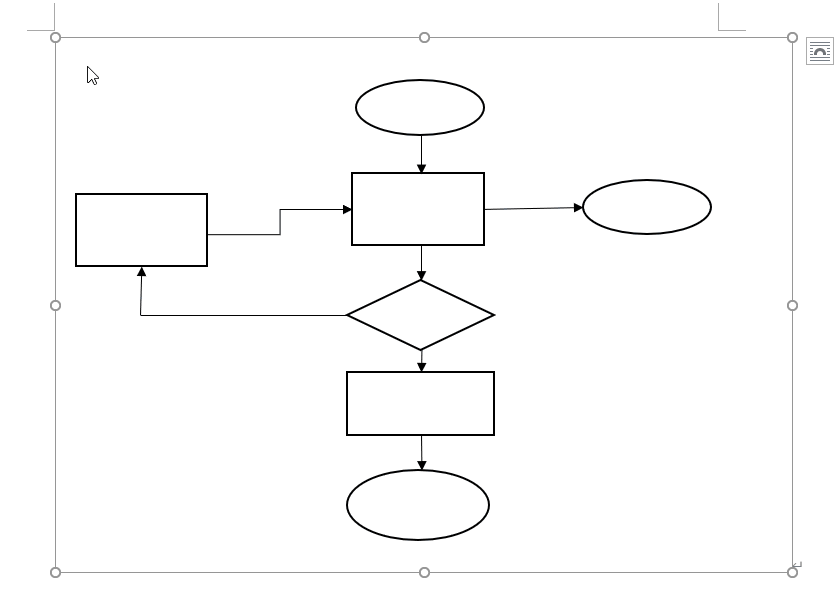
或者选中需要复制的内容,按住【Ctrl】拖动鼠标也可以复制。4、添加连接线
像这样的引导线怎么添加呢?

点击【插入】—【插图】—【形状】—【线条】—【连接符】:肘形箭头,这个时候图形四周出现灰色圆点,选择连接符时会自动吸附。
注意:若想更改连接符形状,可以点击【格式】—【形状样式】,选择黑色就可以啦!

注意:利用这种连接符调整形状位置时,连接线会自动跟随。
以上就是今天分享的干货技巧,你Get到了吗?别忘记动手练习鸭~office研习社,每天陪你学习一点点,进步一点点。喜欢今天的文章,别忘记“收藏”点“在看”支持~ 